Logistic-aided Huber M-estimator for robust GNSS positioning
Published in ArXiv, 2026
1) What problem is this paper solving?
Context: Huber M-estimation is standard for robust GNSS positioning, but its scale and threshold are often set heuristically (e.g., MAD or evelvation-based variance for scale parameter, fixed 1.345 for threshold parameter), which is not always suitable for urban GNSS positioning.
Core contribution: A logistic-aided Huber (LAH) estimator: assume logistic errors so the MLE uses a quasi-log-cosh (QLC) loss, then match score functions between QLC and Huber to obtain closed-form Huber tuning from logistic scales.
Achieved goal: σi = √2 si and ci = √2, embedding logistic error statistics into Huber without learning-based threshold prediction.
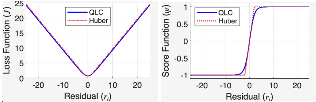
The appromaximation relationship between QLC and the score-matched LAH kernel regarding the loss and score function.
2) Why is this paper important?
What changed: Long-tailed urban GNSS errors are better described by logistic tails than Gaussian nominal models used in conventional Huber (CH) scaling.
Problem created: CH tuning can misclassify inliers vs. outliers and fix a threshold that is optimal for Gaussian efficiency, not for urban GNSS data.
Why LAH helps: It links Huber to the LQLC estimator from logistic MLE so LAH acts as a computationally lighter piecewise surrogate while preserving similar efficiency and robustness to LQLC (detail can refer to the ARE/GES analyses in the paper).
3) How does this paper solve it?
Contribution 1: Score-function matching in small- and large-residual regimes yields the mapping σi = √2 si, ci = √2.
Contribution 2: Shows approximate efficiency and robustness alignment between LQLC and LAH. Contribution 3: Monte Carlo long-tailed errors: LAH lowers 2D RMSE/STD by 28.03% / 38.83% vs. conventional 95%-efficiency Huber. One-hour urban data: 3D RMSE/STD down 4.85% / 16.68%, large error spikes suppressed by up to ~51%.
🎯 Takeaway: Logistic-statistics-based Huber tuning gives a principled, closed-form alternative to heuristic CH settings and strong empirical gains under heavy-tailed GNSS errors.
Recommended citation:
Li, Z., Yan, P., & Hsu, L. T. (2026). "Logistic-aided Huber M-estimator for robust GNSS positioning". arXiv preprint arXiv:2603.19640.
BibTeX
@misc{li2026lah,
author = {Li, Zhengdao and Yan, Penggao and Hsu, Li-Ta},
title = {Logistic-aided Huber M-estimator for robust GNSS positioning},
year = {2026},
eprint = {2603.19640},
archivePrefix = {arXiv},
primaryClass = {stat.AP}
} 